
導語
首先,建議大家看之前先看下面這一篇,以了解二極管的開關過程,這有助于后面的理解。
二極管的開關過程及其可能引發的EMI問題


正題:很多時候,我們會認為二極管的導通損耗(即其正向壓降乘以正向電流)就是它的總損耗。但是二極管的開關過程中,由于電流電壓波形有交叉,它們的乘積不為零,所以存在著開關損耗。同時由于二極管有反向漏電流的存在,所以還有一個截止損耗。
綜上,二極管的損耗類型包含了導通損耗、截止損耗、開通損耗、關斷損耗。這與MOSFET的損耗類似(但MOSFET比二極管復雜),今天就介紹這些損耗如何計算。
必要的名稱解釋
VF/VR:正向壓降/反向電壓
IF/IR:正向電流/反向漏電流
tfr:正向恢復時間
Vfp/Ifp:正向峰值電壓/正向峰值電流
Vrp/Irp:反向峰值電壓/反向峰值電流
Qrr:反向恢復電荷
損耗分析
由于二極管常用于整流,所以我們這里假設二極管通過的是一個方波信號,周期為T、頻率為f、導通時間為ton、占空比為D。
再回顧下二極管的開關過程如下圖-1所示:


圖-1:二極管的開關過程示意圖
如上圖-1所示,可以容易地列出二極管的四大平均功率損耗:
導通損耗:


截止損耗:


開通損耗:


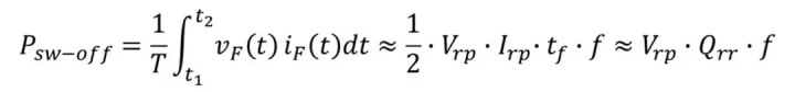
關斷損耗:


注意:從圖-1可以看到二極管在反向恢復時間trr內的td時段,壓降很小,所以在這段時間產生的損耗可以忽略不計,關斷損耗的積分區間直接從t1到t2。
最后說一下,我們常認為二極管的導通損耗近似于它的總損耗是有道理的,因為導通損耗一般來說占的比重比較大,所以我們有時會喜歡使用那些正向壓降低的二極管,比如肖特基二極管。
“在高溫環境下,二極管的反向恢復時間會變長,反向漏電流也會變大。對此敏感的電路需要注意。
烜芯微專業制造二極管,三極管,MOS管,橋堆等20年,工廠直銷省20%,4000家電路電器生產企業選用,專業的工程師幫您穩定好每一批產品,如果您有遇到什么需要幫助解決的,可以點擊右邊的工程師,或者點擊銷售經理給您精準的報價以及產品介紹
烜芯微專業制造二極管,三極管,MOS管,橋堆等20年,工廠直銷省20%,4000家電路電器生產企業選用,專業的工程師幫您穩定好每一批產品,如果您有遇到什么需要幫助解決的,可以點擊右邊的工程師,或者點擊銷售經理給您精準的報價以及產品介紹

