使用電流互感器可以減小測量變換器原邊電流時的損耗,比如大功率開關電源,由于電流過大所以需要使用電流互感線圈來監測電流以減少損耗。
電流互感器與一般的電壓變壓器的區別在什么地方呢?這個問題即使是資深的磁性元件設計人員也很難回答?;镜膮^別在于:變壓器試圖把電壓從原邊變換到副邊,而電流互感器試圖把電流從原邊變換到副邊。電流互感器的電壓大小由負載決定。
我們通過一個實際的設計例子,可以更好地理解電流互感器的工作原理。
假設用電流互感器測量變換器的原邊電流,原邊 10A 電流對應 1V 電壓。當然,我們可以用一個 1V/10A=100mΩ的電阻來測量,但是電阻將造成的損耗為 1V×10A=10W,這么大的損耗對幾乎所有的設計來說都是不能接受的。所以,要選用電流互感器,如圖 1 所示。


圖 1 用電流檢測互感器減小損耗
當然,為了減少繞組電阻,我們把原邊的匝數取為 1 匝,同時為了使電流降到一個比較低的水平,副邊匝數應該比較多。如果副邊匝數為 N,由歐姆定律可得(10/N)R=1V,在電阻中消耗的功率為 P=(1V)^2/R。我們假設消耗的功率為 50mW(也就是說,我們可以使用 100mW 規格的電阻),這就要求 R 不得小于 20Ω,如果采用 20Ω的電阻,由歐姆定律可得副邊匝數 N=200。
現在我們來看磁芯,假設二極管是普通的一般的二極管,通態電壓大約為 1V,電流為 10A/200=50mA。互感器輸出電壓為 1V,加上二極管的通態電壓 1V,總電壓大約 2V。250kHz 頻率工作時,磁芯上的磁感應強度不會超過


其中 4us 為一個周期的時間,實際肯定是不到一個周期的。
由于原邊流過電流的時間不可能超過開關周期(否則,磁芯無法復位)。因此 Ae 可以很小,而 B 也不會很大。這個例子里磁芯的尺寸不能通過損耗要求或磁通飽和要求來確定,更大的可能是由原副邊之間的隔離電壓來確定。如果隔離電壓沒有要求,磁芯的大小一般由 200 匝的繞組所占體積來確定。
你可以用 40 號的導線流過 500mA 的峰值電流,但是這種導線實在太細,一般的變壓器廠家不會為你繞制。實用提示:除非一定要用,一般情況下不要使用規格小于 36 號線的導線。
現在我們來分析為什么不能用電壓變壓器來替代電流互感器?已經知道副邊電壓只有 2V,因此原邊電壓為 2V/200=100mV。如果輸入直流電壓為 48V,那么電流互感器原邊 10mV 電壓對 48V 電壓來說是微不足道的——那樣你可以在副邊得到 50mA 的電流,而對原邊幾乎沒有什么影響。
假設另一種情況(不現實的),原邊的輸入直流電壓只有 5mV,那么互感器的原邊不可能有 10mV 的電壓,同時由于原邊阻抗(如反射副邊阻抗)也比較大,決定了副邊根本不可能產生 50mA 的電流。
即使整個 5mV 電壓全部加在原邊,副邊也只能產生 200×5mV=1V 的電壓:不能在轉換電阻上產生足夠的電壓。因此,電壓變壓器只能用作變壓器,不能用來檢測電流。
從另外一個角度來看:雖然輸入電源的電壓為 48V 時,但是流過電流互感器電流的大小不是由原邊的這個 48V 電壓決定的,而是其他因素決定的。
電流互感器是有阻抗限制的電壓變壓器。
最后,我們來看一下電流互感器的誤差情況怎么樣?答案在于電流互感器的基本定義上:感應的是電流。
實用提示 電流互感中的二極管和副邊繞組的電阻不會影響電流的測量,因為(只要阻抗不是無窮大)串聯電路中電流處處相等,與串聯的元件無關。
實際工作中,是不是使用肖特基二極管作為整流二極管是沒有關系的:二極管的低通態電壓只影響變壓器,不會影響電流互感器。
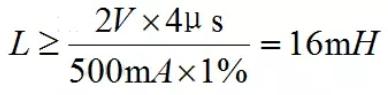
如果互感器副邊的電感太小,測量誤差將會增大。也就是激磁電感太小,假設我們要求測量電流的最大誤差為 1%,原邊電流為 10A,那么副邊電流就是 50mA,這就意味著要求激磁電流(副邊)應該小于 50mA×1%=500μA。激磁電流沒有流過轉換電阻,我們也無法檢測到這個電流,這樣誤差就增大了。我們可以算出副邊電感的最小值


現在的匝數為 200,我們需要 AL=16mH/200=400nH 的磁環,用普通的小鐵氧體磁環就可以了,這種鐵氧體磁環是很容易找到的。
烜芯微專業制造二極管,三極管,MOS管,橋堆等20年,工廠直銷省20%,4000家電路電器生產企業選用,專業的工程師幫您穩定好每一批產品,如果您有遇到什么需要幫助解決的,可以點擊右邊的工程師,或者點擊銷售經理給您精準的報價以及產品介紹
烜芯微專業制造二極管,三極管,MOS管,橋堆等20年,工廠直銷省20%,4000家電路電器生產企業選用,專業的工程師幫您穩定好每一批產品,如果您有遇到什么需要幫助解決的,可以點擊右邊的工程師,或者點擊銷售經理給您精準的報價以及產品介紹

